Sắc tố màu vàng 97
Pigment Yellow 97 is a bright, durable yellow pigment commonly used in coatings, inks, plastics, and paints. Known for its excellent lightfastness, weather resistance, and non-toxic properties, it offers vibrant color with high opacity. This pigment provides superior color strength and is often chosen for applications requiring consistent, high-quality yellow hues. It’s widely used in industrial sectors such as automotive, textiles, and packaging, offering a reliable and long-lasting color solution. Pigment Yellow 97 is valued for its versatility, environmental safety, and ability to maintain color integrity even under harsh conditions.
| từ đồng nghĩa | CIPigment Vàng 97; CIPY97; PY97; PY97 |
| Số CI | 11767 |
| Số CAS | 12225-18-2 |
| Số EU | 235-427-3 |
| Công thức phân tử | C26H27CINN4O8S |
| Gia đình hóa chất | Mono azo |
| Màu sắc | ![]() |
| Huế phân phối |
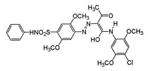
Cấu trúc phân tử:

Sắc tố màu vàng 97 Tính chất vật lý, hóa học và độ bền
| Trọng lượng phân tử | 591.08 |
| Giá trị PH | 7.5 |
| Tỉ trọng | 1.5 |
| Hấp thụ dầu (ml / 100g)% | 45 |
| Độ bền ánh sáng | 7 |
| Chịu nhiệt | 200 (°C) |
| Không thấm nước | 5 |
| Chống dầu | 4 |
| Kháng axit | 5 |
| Kháng kiềm | 5 |
Ứng dụng
Pigment Yellow 97 được ứng dụng trong nhiều ngành công nghiệp khác nhau nhờ màu vàng rực rỡ của nó. Một số ứng dụng phổ biến bao gồm:
Sơn và Chất phủ: Pigment Yellow 97 được sử dụng trong công thức sơn và chất phủ cho mục đích trang trí và bảo vệ. Nó có thể được kết hợp vào sơn gốc nước hoặc sơn gốc dung môi để tạo ra màu vàng.
Mực in: Chất màu được sử dụng trong sản xuất mực in màu vàng cho các ứng dụng như bao bì, ấn phẩm và các vật liệu in khác.
Nhựa: Sắc tố màu vàng 97 thường được sử dụng để tạo màu cho nhựa, bao gồm PVC (polyvinyl clorua), polyolefin và các vật liệu polyme khác. Nó mang lại màu vàng bền và ổn định cho các sản phẩm nhựa.
Dệt may: Trong ngành dệt may, chất màu này có thể được sử dụng để nhuộm vải, tạo màu vàng cho hàng dệt may.
Mực in phun: Pigment Yellow 97 có thể được sử dụng trong công thức mực in phun để in hình ảnh và văn bản trên nhiều chất nền khác nhau.
Màu sắc nghệ sĩ: Các nghệ sĩ và nhà sản xuất vật tư nghệ thuật có thể sử dụng Pigment Yellow 97 trong sản xuất sơn dầu, acrylic, màu nước và các phương tiện nghệ thuật khác.
Các ứng dụng khác: Chất màu cũng có thể được sử dụng trong nhiều ứng dụng khác, nơi mong muốn có màu vàng ổn định và rực rỡ, chẳng hạn như tạo màu cho mỹ phẩm, sản phẩm cao su và các lớp phủ đặc biệt.
Thông tin liên quan
Pigment Yellow 97 is a hydroxyl-containing polycarboxylic acid that is used in the production of paints and plastics. It has an oxidation potential of +0.6 volts, which indicates that it is reactive. Pigment Yellow 97 has an absorption maximum at 526 nm and a molecular weight of 317.09 g/mol. The chemical structure of Pigment Yellow 97 consists of a molecule with a reactive carboxyl group and a reactive hydroxyl group, as well as an intramolecular hydrogen bond between the two groups. This pigment also forms coordination complexes with metals such as iron oxides to form particle pigments or mixtures with glycol esters to form solid particles or dispersions, respectively.
Tên và số nhận dạng
Tên IUPAC: N-(4-chloro-2,5-dimethoxyphenyl)-2-[[2,5-dimethoxy-4-(phenylsulfamoyl)phenyl]diazenyl]-3-oxobutanamide
InChI=1S/C26H27ClN4O8S/c1-15(32)25(26(33)28-18-12-20(36-2)17(27)11-21(18)37-3)30-29-19- 13-23(39-5)24(14-22(19)38-4)40(34,35)31-16-9-7-6-8-10-16/h6-14,25,31H, 1-5H3,(H,28,33)
InChIKey: WNWZKKBGFYKSGA-UHFFFAOYSA-N
NỤ CƯỜI chuẩn mực: CC(=O)C(C(=O)NC1=CC(=C(C=C1OC)Cl)OC)N=NC2=CC(=C(C=C2OC)S(=O)(= O)NC3=CC=CC=C3)OC
Computed Properties
| Property Name | Property Value |
| Trọng lượng phân tử | 591.0 g/mol |
| XLogP3-AA | 4.6 |
| Hydrogen Bond Donor Count | 2 |
| Hydrogen Bond Acceptor Count | 11 |
| Rotatable Bond Count | 12 |
| Exact Mass | 590.1238127 Da |
| Monoisotopic Mass | 590.1238127 Da |
| Topological Polar Surface Area | 162 Ų |
| Heavy Atom Count | 40 |
| Formal Charge | 0 |
| Complexity | 974 |
| Isotope Atom Count | 0 |
| Defined Atom Stereocenter Count | 0 |
| Undefined Atom Stereocenter Count | 1 |
| Defined Bond Stereocenter Count | 0 |
| Undefined Bond Stereocenter Count | 0 |
| Covalently-Bonded Unit Count | 1 |
| Compound Is Canonicalized | Yes |











